Nội dung Bài Viết
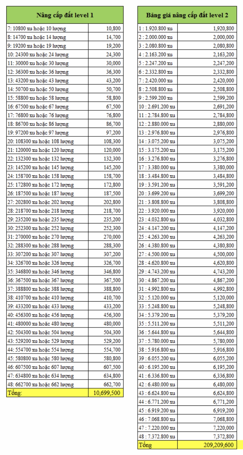
Avatar: Bảng giá nâng cấp đất Level 1 + 2